Pelatihan Tpa Bappenas Soal Tpa S2 Dan Pembahasan
Soaltpas2danpembahasan tpa biasanya diperlukan sebagai syarat awal administrasi untuk mendaftar beasiswa, bumn, melanjutkan s2/s3, cpns, promosi jabatan, dll. untuk melanjutkan kuliah s2 atau emperoleh beasiswa, dari pihak ketiga yang mensyaratkan tpa untuk dilampirkan. seperti itb dan ui untuk jenjang pascasarjana mensyaratkan tpa untuk dilampirkan, walaupun untuk ui mereka membuat. Download soal simak ui s2 dan pembahasan. download soal simak ui s2 dan pembahasan kira-kira apa yah yang harus dipersiapkan agar bisa keterima di simak ui ini? ya tentunya harus melatih kemampuan tes potensi akademik dan tes bahasa inggris, karena memang itulah proses seleksinya.
Pdf Soalsoal Asli Tpa Tes Potensi Akademik Rifki
Soaltpa verbal dan pembahasannya seperti yang kita ketahui bersama, tes potensi akademik biasanya akan diselenggarakan oleh lembaga pendidikan untuk penerimaan siswa/mahasiswa baru maupun perusahaan sekalipun untuk penerimaan. Klik >> download soal sbmptn tkpa ( matematika, bahasa indonesia, bahasa inggris, tpa) 2014 kode 641 dan kunci jawaban klik >> download soal sbmptn tkpa 2014/2015 kode 642 dan kunci jawaban klik >> download soal sbmptn tkpa ( matematika, bahasa indonesia, bahasa inggris, tpa) 2014 kode soal 643 dan kunci jawaban klik >> download soal sbmptn tkpa ( matematika, bahasa indonesia, bahasa inggris. Soal simak ui s2 dan pembahasan soal tes simak ui untuk pascasarjana hanya tes tpa (tes potensi akademik) dan bahasa inggris. saat ini tes potensi akademik (tpa) sudah menjadi soal tpa dan pembahasan s2 standar kelulusan bagi banyak lembaga dan instansi untuk merekrut karyawan atau tenaga profesional dengan keahlian tertentu dan juga sebagai salah satu syarat bagi calon mahasiswanya untuk menempuh jurusan tertentu. Contoh soal test potensi akademik soal tpa simak ui s2 dan pembahasan tips test tpa soal tpa simak ui s2 dan pembahasan test numerik verbal visual.
Contoh Soal Tpa Terbaru Disertai Trik Jitu Menjawab Dengan
Teks berikut untuk soal nomor 36 s. d 38. bacalah teks dengan saksama! tolok ukur kemajuan universitas buku tidak hanya berguna sebagai dokumentasi ilmu pengetahuan dan sumber pengetahuan, juga sebagai tolok ukur perkembangan pengetahuan. itu pula yang tergambar dari jawaban responden tentang buku. Contoh kumpulan soal latihan tpa 2018 tes potensi akademik online pembahasannya bappenas s2 terbaru tanpa download file doc bukan pdf menyediakan soal tpa berbentuk ebook, gambar dan video pembelajaran.
Video pembahasan soal-soal tes potensi akademik level utbk, s2, beasiswa dan gmat utbk gmat ptn s2. Contoh soal tpa sbmptn 2020 dan pembahasan saintek dan soshum terbaru dari edutore gramedia. soal tpa dan pembahasan s2 dapatkan kisi-kisi, prediksi, materi yang sering keluar pada sbmptn. More soal tpa dan pembahasan s2 images.

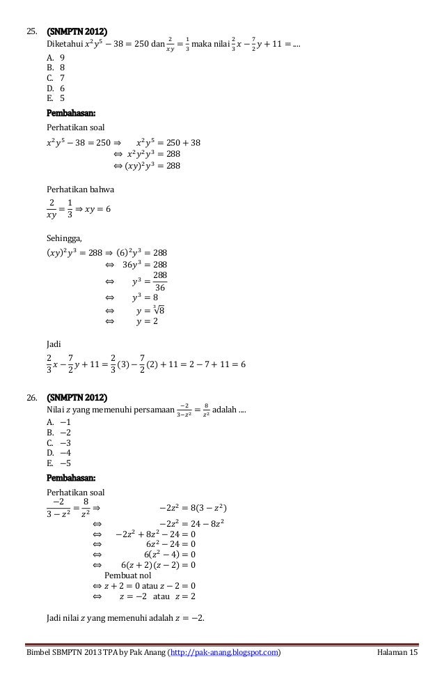
Download Soal Simak Ui S2 Dan Pembahasan Sukses Tpa
Download soal simak ui s2 dan pembahasan.

Soal Tiu Cpns 2020 Dan Kunci Jawaban Barisan Dan Deret
Soal-soal asli tpa tes potensi akademik. Dengan banyak latihan soal-soal yang sudah disediakan seperti di atas dan disertai juga pemahaman untuk trik menjawab dengan tepat, soal-soal tpa terasa lebih mudah untuk dijawab. latihan sudah banyak, trik juga sudah memahami, tinggal berdoanya sobat jangan sampai ketinggalan ya. Bagian ketiga adalah soal-soal prediksi ujian tpa yang di sajikan tiap sub-bab dan yang terakhir adalah paket soal prediksi yang dilengkapi dengan pembahasan dan atau kunci soal tpa dan pembahasan s2 jawaban. jadi, buku ini memuat lebih dari 1420 soal yang dapat digunakan sebagai acuan belajar bagi calon peserta tes.
Barisan dan deret angka maupun huruf ini juga sering keluar pada tes seleksi penerimaan beasiswa lpdp dan tes masuk kuliah s1, s2, maupun s3. soal barisan dan deret juga termasuk dalam kisi-kisi. Sudah banyak download soal simak s2 ui yang ada di internet jadi teman-teman bisa puas belajar dan mempersiapkan diri. tag terkait: download soal simak s2 ui kemampuan dasar, download soal simak s2 ui gratis, download soal simak s2 ui dan pembahasan, download soal simak s2 ui pdf, download soal simak ui pascasarjana dan ekstensi, persiapan tes seleksi ui, persiapan simak ui, contoh soal simak. Hai sobat, kembali lagi dengan admin centralpendidikan. com. di kesempatan yang sibuk ini admin akan memberikan latihan soal tpa sbmptn dan pembahasan terbaru 2020. yapp di setiap soal tpa sbmptn ini memang sudah tersedia pembahasan dan kunci jawabannya.

Berikut ini saya berikan contoh soal dan pembahasan tes potensi akademik yang bersumber dari internet. karena kunci suksenya skor tpa adalah sering berlatih, berlatih dan berlatih. karena soal tpa didesain tidak dapat selesai dikerjakan (kecuali anda jenius). istilahnya berpacu dengan waktu. moga bermanfaat soal tpa dan pembahasan s2 dan selamat berlatih. Soal tpa online pembahasannya bappenas s2 2018. badan perencanaan pembangunan nasional atau bappenas secara intensif melakukan berbagai tes diantaranya tes tpa s2 bappenas. untuk itulah pada kesempatan ini blog soalsoaltpa akan berbagi kumpulan contoh soal tpa dan pembahasannya secara gratis atau free yang bisa dikerjakan secara online tidak perlu didownload (tanpa download).

Contoh soal test potensi akademik tpa terbaru lengkap disertai dengan jawaban dan pembahasannya, numerik, logika, verbal, visual, tips dan trik. 30 soal tpa dan pembahasan s2 contoh soal tpa tes penalaran logis (silogisme), contoh soal tpa, tes potensi akademik (tpa), tes penalaran logis, soal tpa penalaran logis beserta pembahasan dan jawaban, simulasi tpa penalaran logis silogisme.
Nah yuk segera download contoh soal simak s2 ui atau download soal simak ui pascasarjana berikut ini. untuk soal simak ui dan pembahasan silahkan dikerjakan sendiri ya, sekalian melatih kemampuan anda. sudah banyak contoh soal simak s2 ui yang ada di internet jadi anda bisa puas belajar dan mempersiapkan diri. Try out tpa 103 www. nafismudrika. wordpress. com halaman 4 dari 9 d. x dan y tidak bisa ditentukan e. 2x > 2y 30. jika x = p. 1. 1, dan y = p+1+1, (p = bilangan.
No comments:
Post a Comment